Common Emitter Verstärkerschaltung
Die gebräuchlichste Verstärkerkonfiguration für einen NPN-Transistor ist die Common Emitter Verstärker-Schaltung
In der vorherigen Einführung zum Verstärker-Tutorial haben wir gesehen, dass eine Familie von Kurven allgemein als Ausgangskurven bezeichnet sind, den Transistoren Kollektorstrom (Ic) mit der Kollektorspannung (Vce) für verschiedene Werte der Transistoren Basisstrom (Ib) in Beziehung setzen. Alle Arten von Transistorverstärkern arbeiten mit AC-Signaleingängen, die zwischen einem positiven und einem negativen Wert wechseln, so dass eine Art „Voreinstellung“ der Verstärkerschaltung für den Betrieb zwischen diesen beiden Maximal- oder Spitzenwerten erforderlich ist. Dies wird durch ein Verfahren, das als Biasing (vorspannen) bezeichnet wird, erreicht. Die Vorspannung ist bei der Entwicklung von Verstärkern sehr wichtig, da sie den korrekten Betriebspunkt des Transistorverstärkers für den Empfang von Signalen festlegt und dadurch jegliche Verzerrung des Ausgangssignals reduziert.
Wir haben auch gesehen, dass auf diese Ausgangskennlinien eine statische oder DC-Lastlinie gezeichnet werden kann, um alle möglichen Betriebspunkte des Transistors von voll „EIN“ bis voll „AUS“ anzuzeigen, und zu denen der Ruhe- oder Q-Punkt des Verstärkers gefunden werden kann. Ziel eines jeden Kleinsignalverstärkers ist es, das gesamte Eingangssignal mit möglichst geringer Verzerrung des Ausgangssignals zu verstärken, d.h. das Ausgangssignal muss eine exakte Wiedergabe des Eingangssignals sein, nur größer (verstärkt). Um beim Einsatz des Verstärkers eine geringe Verzerrung zu erreichen, muss der Betriebspunkt richtig gewählt werden. Dies ist der DC-Betriebspunkt des Verstärkers und seine Position kann an jeder beliebigen Stelle entlang der Lastleitung durch eine geeignete Vorspannungsanordnung festgelegt werden. Die bestmögliche Position für diesen Q-Punkt ist so nah wie möglich an der Nulllage der Lastleitung, wodurch ein Klasse-A-Verstärkerbetrieb, d.h. Vce = 1/2Vcc, entsteht. Beachten Sie dazu die unten gezeigte Common Emitter Verstärker-Schaltung.
Universal-Emitter-Verstärkerschaltung
Die oben gezeigte einstufige Emitterverstärkerschaltung verwendet das sogenannte „Voltage Divider Biasing“ (Vorspannung über Spannungsteiler). Diese Art der Vorspannungsanordnung verwendet zwei Widerstände als Potentialteiler über die Versorgung, deren Mittelpunkt die erforderliche Basisvorspannung an den Transistor liefert. Die Vorspannung des Spannungsteilers wird häufig bei der Entwicklung von bipolaren Transistorverstärkerschaltungen verwendet.
Diese Methode der Vorspannung des Transistors reduziert die Auswirkungen von variierendem Beta (β) erheblich, indem die Basisvorspannung auf einem konstanten, konstanten Spannungspegel gehalten wird, was für beste Stabilität sorgt. Die Ruhespannung (Vb) wird durch das Potentialteiler-Netzwerk aus den beiden Widerständen R1, R2 und der Versorgungsspannung Vcc bestimmt, wobei der Strom durch beide Widerstände fließt.
Folglich ist der Gesamtwiderstand RT gleich R1 + R2 und ergibt den Strom i = Vcc/RT. Der am Übergang der Widerstände R1 und R2 erzeugte Spannungspegel hält die Basisspannung (Vb) konstant auf einem Wert unterhalb der Versorgungsspannung.
Dann teilt das in der gemeinsamen Emitter-Verstärkerschaltung verwendete Potentialverteilernetz die Versorgungsspannung proportional zum Widerstand. Diese Bias-Referenzspannung kann mit Hilfe der folgenden einfachen Spannungsteilerformel leicht berechnet werden:
Vorspannung des Transistors
Die gleiche Versorgungsspannung (Vcc) bestimmt auch den maximalen Kollektorstrom, Ic bei voll eingeschaltetem Transistor „ON“ (Sättigung), Vce = 0. Der Basisstrom Ib für den Transistor wird aus dem Kollektorstrom, Ic und der Gleichstromverstärkung Beta, β des Transistors ermittelt.
Beta-Wert
Beta wird manchmal als hFE bezeichnet, d.h. die Durchlassstromverstärkung der Transistoren in der gemeinsamen Emitterkonfiguration. Beta hat keine Einheiten, da es ein festes Verhältnis der beiden Ströme Ic und Ib ist, so dass eine kleine Änderung des Basisstroms eine große Änderung des Kollektorstroms verursacht. Ein letzter Punkt zu Beta: Transistoren des gleichen Typs und der gleichen Teilenummer haben große Schwankungen in ihrem Beta-Wert, z.B. hat der BC107 NPN Bipolartransistor einen Gleichstrom Beta-Wert zwischen 110 und 450 (Datenblattwert), weil Beta eine Eigenschaft seiner Konstruktion und nicht seiner Betriebsart ist.
Da der Basis-/Emitteranschluss vorwärtsgerichtet ist, ist die Emitterspannung, Ve ein von der Basisspannung abweichender Spannungsabfall. Wenn die Spannung am Emitterwiderstand bekannt ist, kann der Emitterstrom leicht mit dem Ohmschen Gesetz berechnet werden. Der Kollektorstrom Ic kann angenähert werden, da er fast den gleichen Wert wie der Emitterstrom hat. Eine Emitterverstärkerschaltung hat einen Lastwiderstand, RL von 1,2kΩ und eine Versorgungsspannung von 12V. Berechnen Sie den maximalen Kollektorstrom (Ic), der durch den Lastwiderstand fließt, wenn der Transistor vollständig „EIN“ geschaltet ist (Sättigung), nehmen Sie Vce = 0 an und finden Sie auch den Wert des Emitterwiderstands, Re, wenn er einen Spannungsabfall von 1V hat. Berechnen Sie die Werte aller anderen Schaltungswiderstände unter der Annahme eines NPN-Siliziumtransistors.
Damit ist der Punkt „A“ auf der Kollektorstrom-Vertikalachse der Kennlinien fest der auftritt, wenn Vce = 0 ist; wenn der Transistor vollständig „AUS“ geschaltet ist, gibt es keinen Spannungsabfall über die Widerstände RE oder RL, da kein Strom durch sie fließt. Dann ist der Spannungsabfall über dem Transistor, Vce gleich der Versorgungsspannung, Vcc. Damit ist der Punkt „B“ auf der horizontalen Achse der Kennlinien festgelegt.
Im Allgemeinen liegt der Ruhe-Q-Punkt des Verstärkers bei einem Null-Eingangssignal an der Basis, so dass der Kollektor etwa in der Mitte der Lastlinie zwischen Null Volt und der Versorgungsspannung (Vcc/2) sitzt. Daher wird der Kollektorstrom am Q-Punkt des Verstärkers:
Diese statische DC-Lastlinie ergibt eine Geradengleichung, ihre Steigung ist -1/(RL + RE)) und sie kreuzt die vertikale Ic-Achse am Punkt Vcc/(RL + RE). Die Position des Q-Punktes auf der DC-Lastlinie wird durch den Mittelwert von Ib bestimmt. Da der Kollektorstrom des Transistors, Ic auch gleich der DC-Verstärkung des Transistors (Beta), mal dem Basisstrom (β*Ib), wenn wir einen Beta-Wert (β) für den Transistor von z.B. 100 annehmen, (einhundert ist ein vernünftiger Mittelwert für Signaltransistoren niedriger Leistung) ist der im Transistor fließende Basisstrom Ib gegeben als:
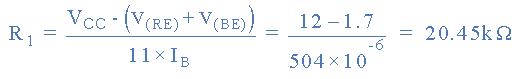
Statt eine separate Basisvorspannung zu verwenden, ist es üblich, die Basisvorspannung von der Hauptversorgungsschiene (Vcc) über einen Vorwiderstand R1 zur Verfügung zu stellen. Die Widerstände R1 und R2 können nun so gewählt werden, dass ein geeigneter Ruhestrom von 45,8µA oder 46µA erreicht wird. Der durch den Potentialteilerkreis fließende Strom muss im Vergleich zum tatsächlichen Basisstrom Ib groß sein, damit das Spannungsteilernetz nicht durch den Basisstromfluss belastet wird. Als Faustregel gilt ein Wert von mindestens zehn Mal Ib, der durch den Widerstand R2 fließt. Transistor Basis-/Emitterspannung, Vbe ist fest auf 0,7V (Siliziumtransistor) eingestellt, daraus ergibt sich der Wert von R2 als:
Wenn der Strom, der durch den Widerstand R2 fließt, den 10-fachen Wert des Basisstroms hat, muss der Strom, der durch den Widerstand R1 im Teilernetz fließt, den 11-fachen Wert des Basisstroms besitzen. Das ist: IR2 + Ib. Also die Spannung am Widerstand R1 ist gleich Vcc – 1,7v (VRE + 0,7 für Siliziumtransistor), was gleich 10,3V ist, daraus kann R1 wie folgt berechnet werden:
Der Wert des Emitterwiderstands, RE, kann einfach mit dem Ohmschen Gesetz berechnet werden. Der durch RE fließende Strom ist eine Kombination aus dem Basisstrom, Ib und dem Kollektorstrom Ic und ist gegeben als:
Widerstand, RE wird zwischen den Emitter und Masse geschaltet und wir haben vorhin gesagt, dass er eine Spannung von 1 Volt hat. Damit ist der Wert von RE:
In unserem obigen Beispiel sind die bevorzugten Werte der Widerstände mit einer Toleranz von 5% (E24) also:
Nun kann unsere ursprüngliche Emitter Verstärker-Schaltung umgeschrieben werden, um die Werte der Komponenten, die wir soeben berechnet haben, mit einzubeziehen.
Final berechnete Emitter Verstärker-Schaltung
Verstärker Koppelkondensatoren
In Emitter Verstärker-Schaltungen werden die Kondensatoren C1 und CC1 als Koppelkondensatoren verwendet, um die AC-Signale von der DC-Vorspannung zu trennen. Dadurch wird sichergestellt, dass die für den korrekten Betrieb der Schaltung eingestellte Vorspannungsbedingung nicht durch zusätzliche Verstärkerstufen beeinflusst wird, da die Kondensatoren nur AC-Signale durchlassen und jegliche DC-Komponente blockieren. Das AC-Ausgangssignal wird dann der Vorspannung der folgenden Stufen überlagert. Auch ein Bypass-Kondensator, CE ist in der Emitter-Schenkel-Schaltung enthalten.
Dieser Kondensator ist praktisch ein Leerlaufbauteil für Gleichstromvorspannungen, d.h. die Vorspannungen und -ströme werden durch die Zugabe des Kondensators nicht beeinflusst, wodurch eine gute Q-Punkt-Stabilität erhalten bleibt. Dieser parallel geschaltete Bypass-Kondensator wird jedoch bei hochfrequenten Signalen durch seine Reaktanz zu einem Kurzschluss mit dem Emitter-Widerstand. So wirkt nur RL plus ein sehr kleiner Innenwiderstand wenn die Transistoren die Spannungsverstärkung auf ihr Maximum erhöhen. Im Allgemeinen wird der Wert des Bypass-Kondensators CE so gewählt, dass er eine Reaktanz von höchstens 1/10 des Wertes von RE bei der niedrigsten Betriebssignalfrequenz liefert.
Ausgangskennlinien
Ok, so weit so gut. Wir können nun eine Reihe von Kurven konstruieren, die den Kollektorstrom, Ic gegen die Kollektor-/Emitterspannung, Vce mit verschiedenen Werten des Basisstroms, Ib für unsere einfache Emitter-Verstärkerschaltung zeigen. Diese Kurven werden als „Ausgangskennlinien“ bezeichnet und zeigen, wie der Transistor über seinen Dynamikbereich arbeitet. Auf die Kurven für den Lastwiderstand RL von 1.2kΩ wird eine statische oder DC-Lastlinie gezeichnet, um alle möglichen Betriebspunkte der Transistoren anzuzeigen.
Wenn der Transistor „AUS“ geschaltet wird, entspricht Vce der Versorgungsspannung Vcc und dies ist Punkt „B“. Auch wenn der Transistor vollständig „EIN“ und gesättigt ist, wird der Kollektorstrom durch den Lastwiderstand RL bestimmt und dies ist Punkt „A“. Wir haben vorher aus der DC-Verstärkung des Transistors berechnet, dass der für die mittlere Position des Transistors benötigte Basisstrom 45.8µA beträgt und dieser ist als Punkt Q auf der Lastlinie markiert, der den Arbeitspunkt oder Q-Punkt des Verstärkers darstellt. Wir könnten uns das Leben leicht machen und diesen Wert auf exakt 50µA abrunden, ohne Einfluss auf den Betriebspunkt.
Q auf der Lastlinie gibt uns den Basisstrom Q-Punkt von Ib = 45.8µA oder 46µA. Wir müssen die maximalen und minimalen Spitzenschwankungen des Basisstroms finden, die zu einer proportionalen Änderung des Kollektorstroms Ic ohne Verzerrung des Ausgangssignals führen. Da die Lastleitung die verschiedenen Basisstromwerte auf den DC-Kennlinien durchschneidet, können wir die Spitzenschwankungen des Basisstroms finden, die entlang der Lastleitung gleichmäßig verteilt sind. Diese Werte sind als Punkte „N“ und „M“ auf der Linie markiert, was einen minimalen und einen maximalen Basisstrom von 20µA bzw. 80µA ergibt. Diese Punkte, „N“ und „M“ können überall entlang der von uns gewählten Belastungslinie liegen, solange sie einen von Q gleichmäßigen Abstand haben. Dies gibt uns dann ein theoretisch maximales Eingangssignal zum Basisanschluss von 60µA Spitze-zu-Spitze, (30µA Spitze) ohne Verzerrung des Ausgangssignals.
Jedes Eingangssignal, das einen Basisstrom größer als diesen Wert liefert, treibt den Transistor über den Punkt „N“ hinaus in seinen „Cut-Off“-Bereich oder über den Punkt „M“ hinaus in seinen Sättigungsbereich und führt dadurch zu einer Verzerrung des Ausgangssignals in Form von „Clipping“. Am Beispiel der Punkte „N“ und „M“ können die Momentanwerte des Kollektorstroms und die entsprechenden Werte der Kollektor-Emitter-Spannung aus der Lastleitung projiziert werden. Man erkennt, dass die Kollektor-Emitter-Spannung gegenphasig (–180o) zum Kollektorstrom ist. Da sich der Basisstrom Ib von 50µA auf 80µA positiv ändert, sinkt die Kollektor-Emitter-Spannung, die auch die Ausgangsspannung ist, von ihrem stationären Wert 5,8 Volt auf 2,0 Volt. Ein einstufiger Emitter Verstärker ist folglich auch ein „invertierender Verstärker“, da eine Erhöhung der Basisspannung eine Abnahme der Vout und eine Abnahme der Basisspannung eine Zunahme der Vout bewirkt. Mit anderen Worten, das Ausgangssignal ist 180 Grad phasenverschoben zum Eingangssignal.
Emitter-Spannungsverstärkung
Die Spannungsverstärkung des Emitterverstärkers ist gleich dem Verhältnis der Änderung der Eingangsspannung zur Änderung der Ausgangsspannung des Verstärkers. Dann ist ΔVL VOUT und ΔVB ist VIN. Die Spannungsverstärkung ist aber auch gleich dem Verhältnis des Signalwiderstands im Kollektor zum Signalwiderstand im Emitter wie folgt:
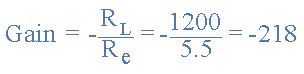
Wir haben bereits erwähnt, dass mit zunehmender Signalfrequenz der Bypass-Kondensator den Emitter-Widerstand aufgrund seiner Reaktanz kurzschließt. Damit wird bei hohen Frequenzen RE = 0 die Verstärkung unendlich.
Bipolare Transistoren haben jedoch einen kleinen Innenwiderstand in ihrem Emitterbereich, der Re genannt wird. Das Halbleitermaterial der Transistoren setzt dem Stromfluß einen inneren Widerstand entgegen, der in der Regel durch ein kleines Widerstandssymbol innerhalb des Haupttransistorsymbols dargestellt wird.
Transistor-Datenblätter sagen aus, dass für einen kleinen Signal-Bipolartransistor dieser interne Widerstand 25mV ÷ Ie (25mV ist der interne Spannungsabfall über die Emitter-Übergangsschicht) ist, dann für unsere Universal Emitter-Verstärkerschaltung über diesem Widerstandswert ist Re gleich:
Dieser interne Emitter-Schenkelwiderstand ist in Reihe mit dem externen Emitterwiderstand RE geschaltet, die Gleichung für die tatsächliche Verstärkung der Transistoren wird so modifiziert, dass sie diesen internen Widerstand enthält:
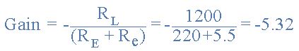
Bei niederfrequenten Signalen ist der Gesamtwiderstand im Emitter-Schenkel gleich RE + Re. Bei hoher Frequenz kurzschließt der Bypass-Kondensator den Emitter-Widerstand und lässt nur den Innenwiderstand Re im Emitter-Schenkel zurück, was zu einer hohen Verstärkung führt. Für unsere obige Common Emitter Verstärkerschaltung ist die Verstärkung der Schaltung sowohl bei niedrigen als auch bei hohen Signalfrequenzen gegeben durch:
Bei niedrigen Frequenzen
Bei hohen Frequenzen
Ein letzter Punkt, die Spannungsverstärkung ist nur von den Werten des Kollektorwiderstandes, RL und des Emitterwiderstandes abhängig, (RE + Re) wird nicht von der Stromverstärkung Beta, ß (hFE) des Transistors beeinflusst. Für unser einfaches Beispiel oben können wir nun alle Werte, die wir für unsere Universal Emitter Verstärkerschaltung berechnet haben, zusammenfassen und diese sind:
Fazit: Universal Emitter Verstärker
Die Common Emitter Verstärker Schaltung hat einen Widerstand in ihrem Kollektor Kreis. Der durch diesen Widerstand fließende Strom erzeugt den Spannungsausgang des Verstärkers. Der Wert dieses Widerstandes ist so gewählt, dass am Arbeitspunkt des Verstärkers, Q-Punkt, diese Ausgangsspannung auf halber Höhe der Transistorlast liegt. Die Basis des in einem Emitterverstärker verwendeten Transistors wird über zwei Widerstände als Potentialteiler vorgespannt. Diese Art der Vorspannung wird häufig bei der Entwicklung von bipolaren Transistorverstärkerschaltungen verwendet und reduziert die Auswirkungen von variierenden Beta-Werten (β), indem die Basisvorspannung auf einer konstant stabilen Spannung gehalten wird. Diese Art der Vorspannung erzeugt die größte Stabilität.
Ein Widerstand kann in den Emitterschenkel eingebaut werden, wobei die Spannungsverstärkung -RL/RE wird. Wenn es keinen externen Emitterwiderstand gibt, ist die Spannungsverstärkung des Verstärkers nicht unendlich, da es einen sehr kleinen Innenwiderstand, Re im Emitter-Schenkel gibt. Der Wert dieses Innenwiderstandes entspricht 25mV/IE. Im nächsten Tutorial über Transistorverstärker schauen wir uns den Sperrschicht-Feldeffekt-Transistor (Junction Field Effect Amplifier) an, der allgemein als JFET-Verstärker bezeichnet wird. Wie der Transistor wird auch der JFET in einer einstufigen Verstärkerschaltung verwendet, was das Verständnis erleichtert. Es gibt verschiedene Arten von Feldeffekttransistoren, die wir verwenden könnten, aber am einfachsten zu verstehen ist der Sperrschicht-Feldeffekttransistor oder JFET, der eine sehr hohe Eingangsimpedanz hat, was ihn ideal für Verstärkerschaltungen macht.
